• Предмет: Алгебра
  • Автор: kabylbakieva
  • Вопрос задан 3 года назад

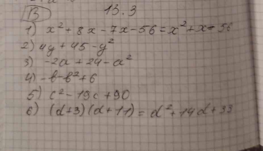
8.3. 1) (x - 7) (x + 8);
- 3)(a + 6) (4- a);
5)(10 - c)(9 - c);
-
2) (9- y) (y + 5); OEM ON
4) (2-6)(b + 3);+o
6) (d + 3) (d + 11)
.0.0
записать в виде многочленов произведения ​

Приложения:

Ответы

Ответ дал: johnnydepp2
2

Ответ:

Вот пожалуйста ,сделай лучшим ответом

Приложения:

alinakabdalova230508: можно пояснить?
rafkat83: спасибо большое
Вас заинтересует