• Предмет: Астрономия
  • Автор: milanabikbaeva15
  • Вопрос задан 3 года назад

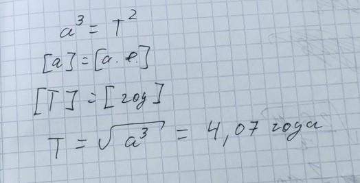
Определите период обращения астероида , если большая полуось его орбиты равна 2,55 а. е. ​

Ответы

Ответ дал: Glanik34
3

Ответ:

На фото,..,.,.,.,.,.,.,.,.,.,.,.,.,.,..,.

Приложения:
Вас заинтересует