• Предмет: Алгебра
  • Автор: SinkoOffical
  • Вопрос задан 3 года назад

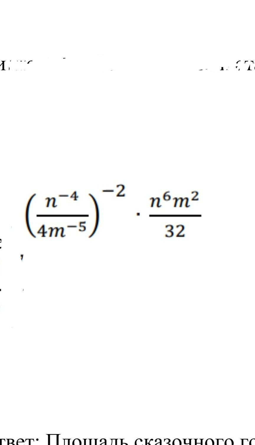
ПОМОГИТЕ ПОЖАЛУЙСТА С СОРОМ​

Приложения:

Ответы

Ответ дал: anelsuankl
0

воооот пожалуста 15 баал

Приложения:
Вас заинтересует