• Предмет: Алгебра
  • Автор: Аноним
  • Вопрос задан 11 лет назад

Упростите выражение))

Приложения:

Ответы

Ответ дал: obse2013
0
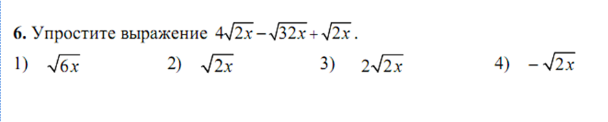
4√2х-√32х+√2х=√16*2х-√32х+√2х=√2х
Вас заинтересует