• Предмет: Алгебра
  • Автор: Ohmagad
  • Вопрос задан 3 года назад

Решите пожалуйста!
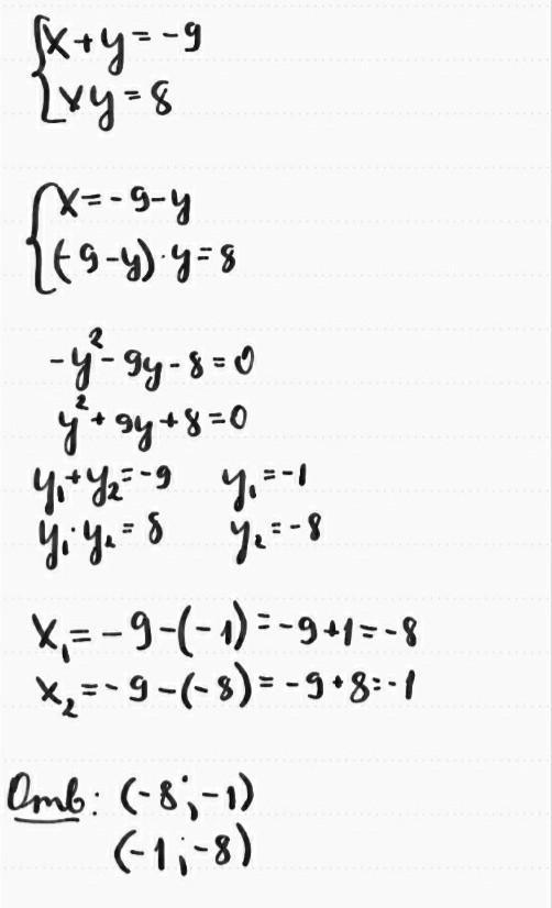
Найдите решение системы уравнений:
{x+y=-9
{xy=8

Ответы

Ответ дал: сок111213
1

решение на фотографии

Приложения:
Вас заинтересует