• Предмет: Алгебра
  • Автор: bur2017
  • Вопрос задан 3 года назад

Помогите решить, пожалуйста. даю много баллов

Приложения:

Ответы

Ответ дал: melaniyamma
0

Ответ:

надеюсь помогла :/ ответ должен содержать 20 символов но на картинке уже есть ответ

Приложения:

bur2017: не совсем поняла, если честно, ахах. Можете еще раз объяснить, пожалуйста? И есть ли наглядное решение?
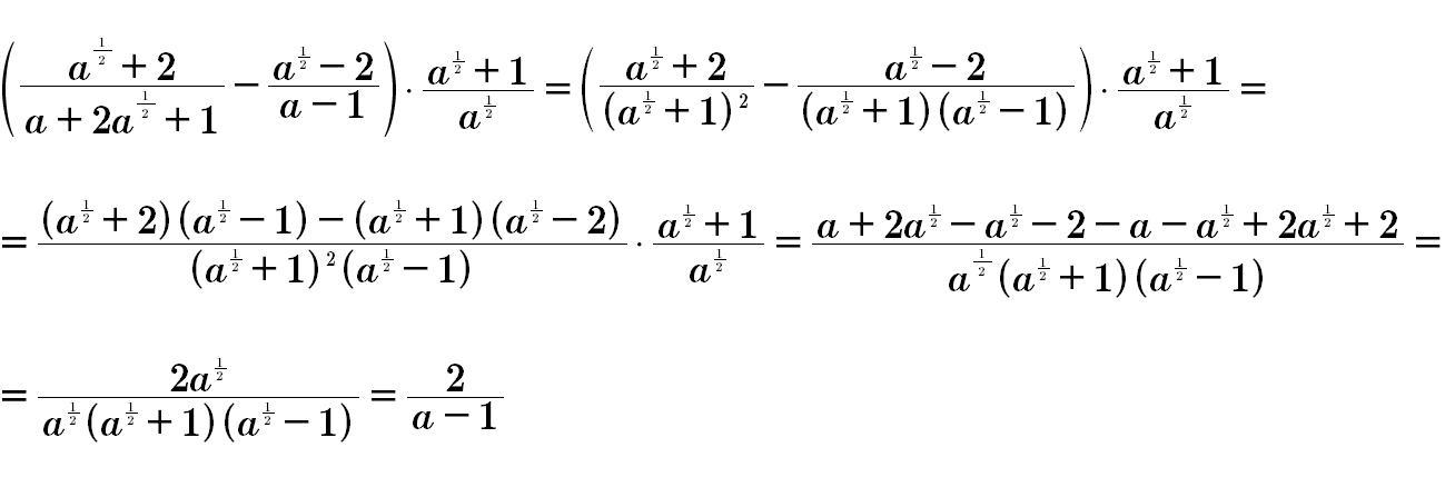
Ответ дал: tamarabernukho
1

Ответ:

Объяснение:

........................................................

Приложения:

fiua45: Помогите мне пж! Умаляю! 20 балла! Олемп!!!! Пж
Вас заинтересует