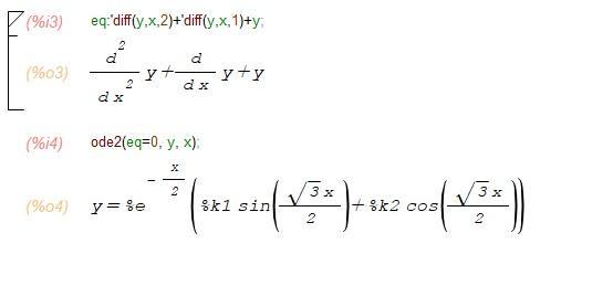
Нужна помощь. y'' + y' + y = 0. Хочу убедиться правильно ли я решил уравнение. Можно просто дать ответ, но желательно развернуто.
Ответы
Ответ дал:
1
Ответ:
Пошаговое объяснение:
Такие задачи рекомендую проверять в Maxima
Решение ищем в виде
- корни характеристического уравнения
Приложения:

Вас заинтересует
2 года назад
2 года назад
2 года назад
7 лет назад