Ответы
Ответ дал:
1
Ответ:
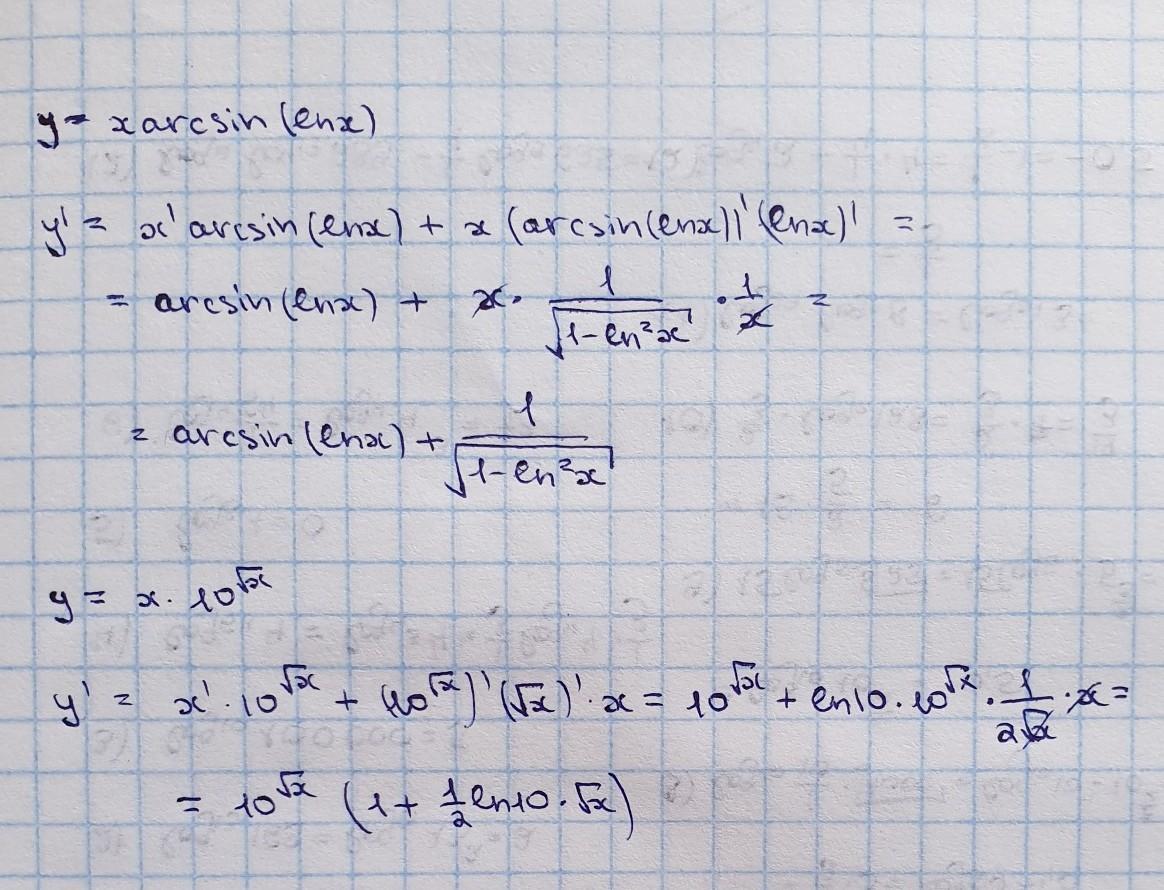
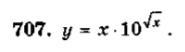
решение на фотографии
Приложения:

cookieais9701:
Спасибо)
Вас заинтересует
2 года назад
2 года назад
7 лет назад