• Предмет: Алгебра
  • Автор: gayna1320p1ew36
  • Вопрос задан 3 года назад

Срочно даю 20 баллов ❗ ❗ Упростите выражение
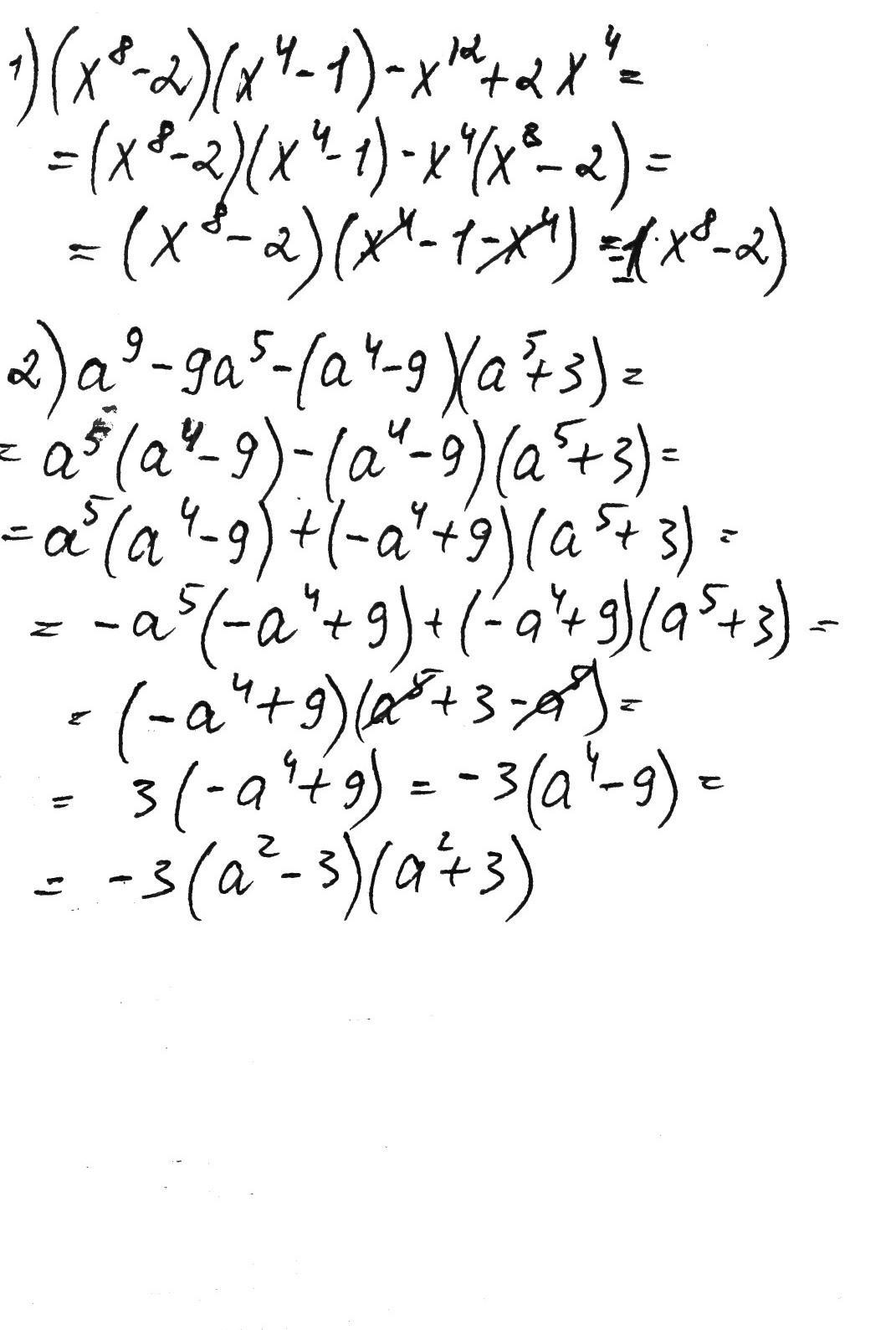
1)(х^8-2)(х⁴-1)-х¹²+2х⁴
2)а^9-9а^5-(а⁴-9)(а^5+3)

Приложения:

Ответы

Ответ дал: NiNic356
1

)))))))))))))))))))

Приложения:

gayna1320p1ew36: Это точео правельно?
gayna1320p1ew36: Надо все примеры зделать
NiNic356: а куда тебе отправить все?
Аноним: о,слава богу,что ты есть
Аноним: так чтобы решать такие примеры,нужно применять тему группировки многрчленов?
Аноним: отправь сюда
Аноним: напиши цифрамм
Аноним: пожалуйста,а то тема непонята
NiNic356: 3) (x¹⁵+5)(x³+2)-10-x¹⁸= x¹⁸+2x¹⁵+5x³+10-10-x¹⁸=2x¹⁵+5x³
NiNic356: 4) a⁴²-14a⁷-(a⁶-14)(a⁷-1)=a⁴²-14a⁷-(a¹³-a⁶-14a⁷+14)=a⁴²-14a⁷-a¹³+a⁶+14a⁷-14=a⁴²-a¹³+a⁶-14
Вас заинтересует