• Предмет: Математика
  • Автор: alinakamalova2
  • Вопрос задан 10 лет назад

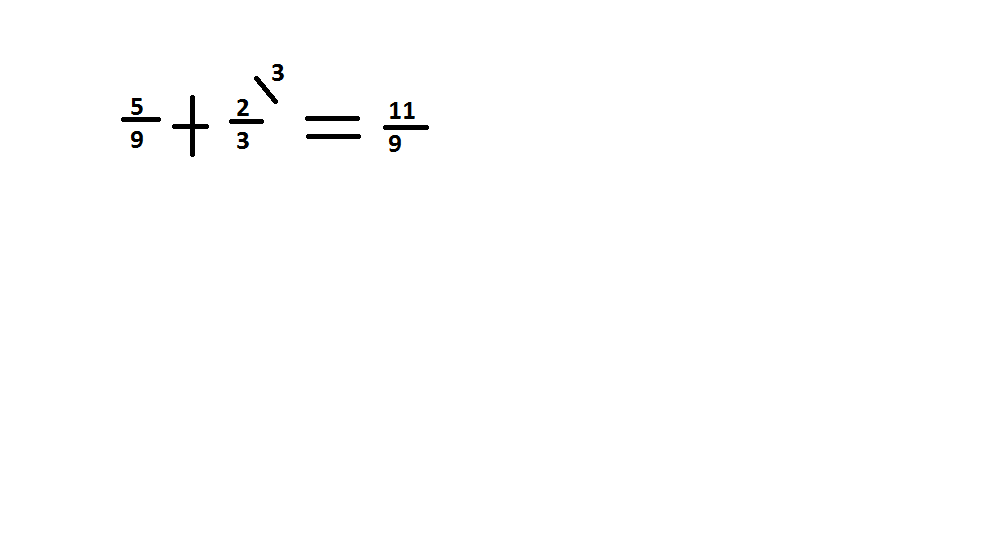
5/9+2/3 найти решение

Ответы

Ответ дал: Ulkiorik
0
 frac{5}{9}+ frac{2}{3} =  frac{5}{9} + frac{6}{9} = frac{11}{9} = 1frac{2}{9}
Ответ дал: oklar
0
если это дроби то вот


Приложения:
Вас заинтересует