• Предмет: Алгебра
  • Автор: varvaravents
  • Вопрос задан 3 года назад

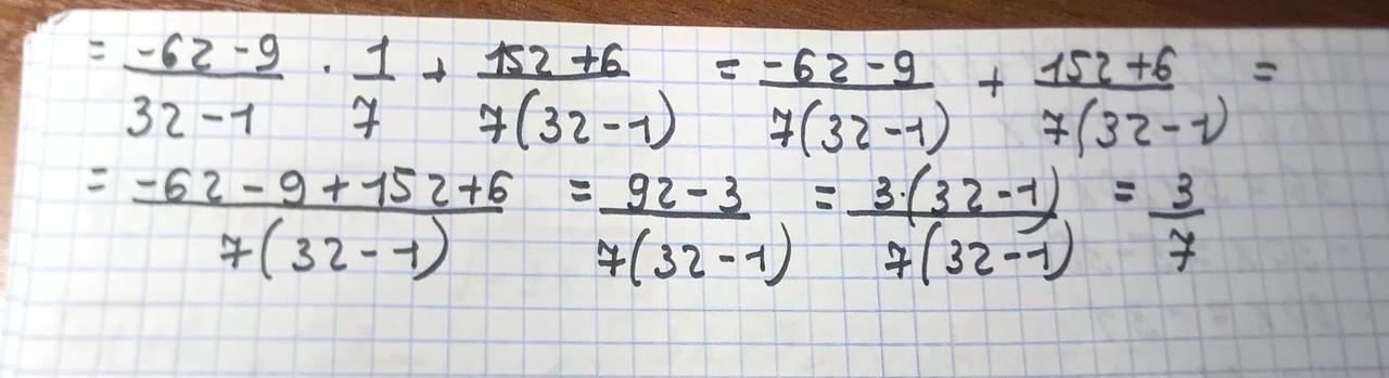
Упростите выражение. Пожалуйста(

Приложения:

Ответы

Ответ дал: pomosh777m
1

Данный ответ представлен фотографиями.

Приложения:

varvaravents: чувак, ты меня спас. спасибо). ты - чудо).
Вас заинтересует