• Предмет: Алгебра
  • Автор: jigitkz
  • Вопрос задан 3 года назад

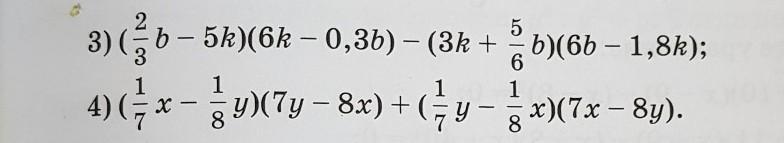
Помогите ПОЖАЛУЙСТА СРОЧНО НАДО!!! ​

Приложения:

Ответы

Ответ дал: mussayevaaktoty
1

Объяснение:

3) 4bk-0,2b²-30k²+1,5bk-18bk+5,4k²-5b²+1,5bk=-13bk-5,2b²-24,6k²

4) xy-8/7x²-7/8y²+xy+xy-8/7y²-7/8x²+xy=4xy-113/64x²-113/64y²

Вас заинтересует