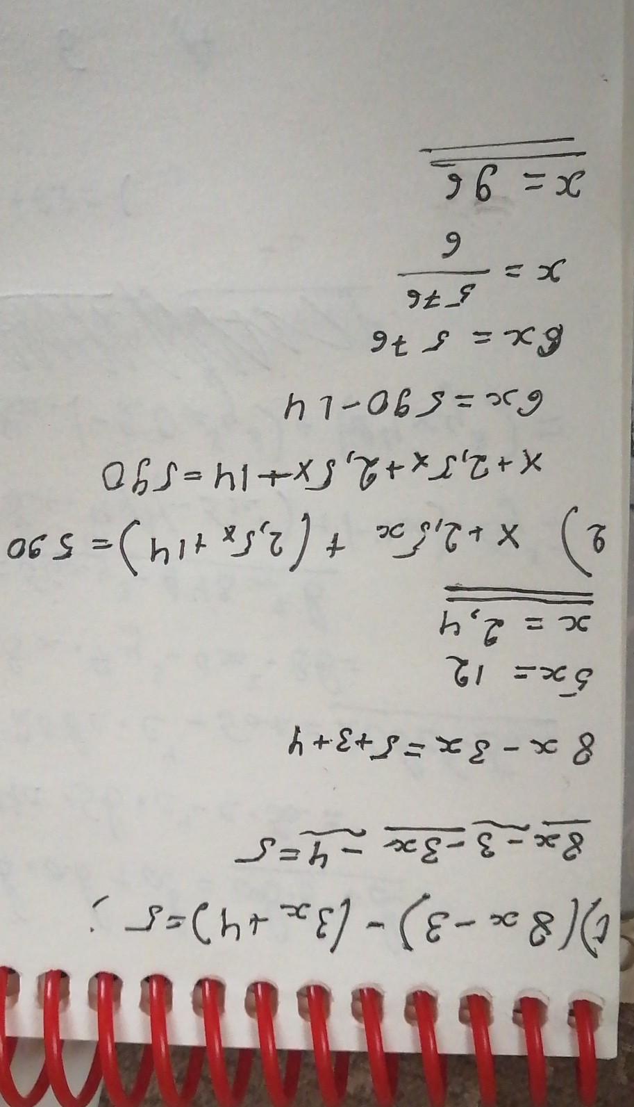
(8х-3)-(3х+4)=5
х+2,5х+(2,5х+14)=590
ПОЖАЛУЙСТА СРОЧНО РЕШИТЕ!
Дам 30балов умоляю эьо очень срочно надо!!!!!!!
Ответы
Ответ дал:
0
Ответ:
Извините, что вверх ногами хахахахахахсха
Приложения:

Вас заинтересует
2 года назад
2 года назад
2 года назад
7 лет назад
7 лет назад
9 лет назад