• Предмет: Физика
  • Автор: vladosamigos2005
  • Вопрос задан 3 года назад

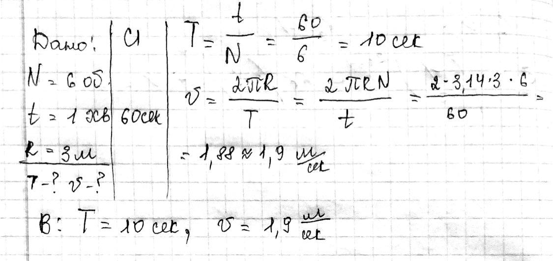
5. Дівчинка, катаючись на каруселі, яка робить 6 обертів за 1 хв, сидить на відстані 3м від осі обертання каруселі. Визначте перiод обертання та лінійну швидкість руху дівчинки.

Ответы

Ответ дал: perola
142

Решение на фото ===>

Приложения:
Вас заинтересует