• Предмет: Алгебра
  • Автор: kazievagulnaz2007
  • Вопрос задан 3 года назад

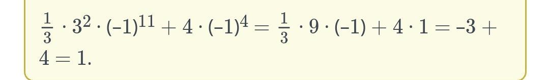
Көпмүшені ықшамдап, сандық мәнін тап:



– 

+ 4s4, мұндағы r = 3, s = –1.

Көпмүшенің мәні:.

Ответы

Ответ дал: madiulyalinur
9

Ответ:мәні 1

Объяснение:міне

Приложения:

ajdanatanbajkyzy: шынба
ajdanatanbajkyzy: дурыс па
Аноним: дурыспа
zunisbekbekzat00: иә
zunisbekbekzat00: өзім тексердім
venerakulzaeva26: яя
venerakulzaeva26: дурыс екен
Вас заинтересует