Пожалуйста помогите с этими примерами,буду невероятно благодарен за помощь.
Приложения:
cleVVVer:
Хоть кто-нибудь...
Ответы
Ответ дал:
1
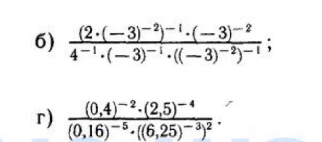
решение на фотографии
Приложения:
Я невероятно благодарен вам,спасибо большое !
Здравствуйте,наверное это покажется странным,всё же...Не могли бы вы мне помочь по физике ?Я дам вам все свои имеющиеся баллы,нужно решить всего лишь одну задачу по физике...Прошу вас,очень надо( Но я пойму,если вы откажете.
1. В листе железа пробито круглое отверстие . Как изменится площадь отверстия при нагревании
железного листа до 5000С, если при 00 С радиус отверстия 25 см.( α=1,2 *10 градусов в минус пятой степени)
железного листа до 5000С, если при 00 С радиус отверстия 25 см.( α=1,2 *10 градусов в минус пятой степени)
Вас заинтересует
2 года назад
2 года назад
2 года назад
8 лет назад
8 лет назад
9 лет назад
9 лет назад