• Предмет: Алгебра
  • Автор: zsasdfreth
  • Вопрос задан 3 года назад

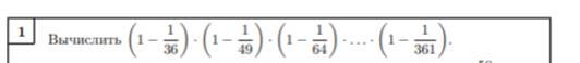
ПОМОГИТЕ СРОЧНО!!!!!!

Приложения:

Ответы

Ответ дал: QDominus
0

Решение приложено...

Приложения:
Вас заинтересует