• Предмет: Алгебра
  • Автор: Аноним
  • Вопрос задан 3 года назад

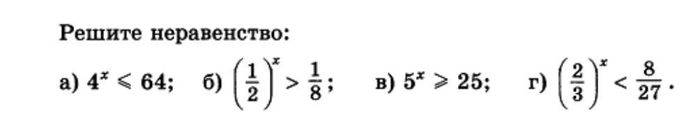
Простые неравенства. С решением, можно с коротким. ​

Приложения:

Ответы

Ответ дал: rumanezzo
1

Ответ:

Объяснение:

а) 4^x <= 4^3

x <= 3 ответ: (-беск; 3]

б) 2^(-x) > 2^(-3)

-x > -3

x < 3 (-беск; 3)

в) 5^x >= 5^2

x >= 2 [2; +беск)

г) (2/3)^x < (2/3)^3

x > 3 [3; +беск)


Аноним: спасибо)
Вас заинтересует