• Предмет: Алгебра
  • Автор: Katebloe2018
  • Вопрос задан 3 года назад

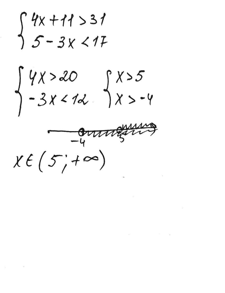
Решите систему неравенств​

Приложения:

Ответы

Ответ дал: NiNic356
1

Объяснение:

)))))))))))))))))))))))))

Приложения:
Вас заинтересует