• Предмет: Алгебра
  • Автор: tasybajsokan8
  • Вопрос задан 3 года назад

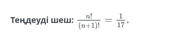
пажалуста помагите алгебра ​

Приложения:

Ответы

Ответ дал: wizardman14
2

Ответ:

n= 16

Объяснение:

Вас заинтересует