• Предмет: Алгебра
  • Автор: Аноним
  • Вопрос задан 3 года назад

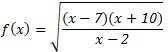
Найдите область определения функции

Приложения:

Ответы

Ответ дал: manyny06
1

Ответ:

решение смотри на фотографии

Объяснение:

Приложения:

lushnikovt: manyny06, помогите, пожалуйста с 2-мя моими последними вопросами. Пожалуйста)
Ответ дал: 777asiya888w
0

ответ.......................

Приложения:
Вас заинтересует