Ответы
Ответ дал:
0
Решение, надеюсь все Понятно
Приложения:

Ответ дал:
0
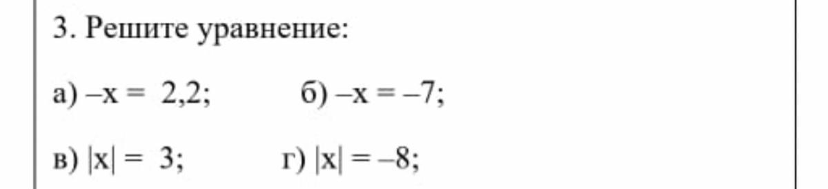
Ответ:
а) х=-2,2
б) х=7
в) х1=-3
х2=3
г) нет решения, т.к. все значения по модулю - положительные
Пошаговое объяснение:
Вас заинтересует
2 года назад
2 года назад
2 года назад
2 года назад
7 лет назад
7 лет назад