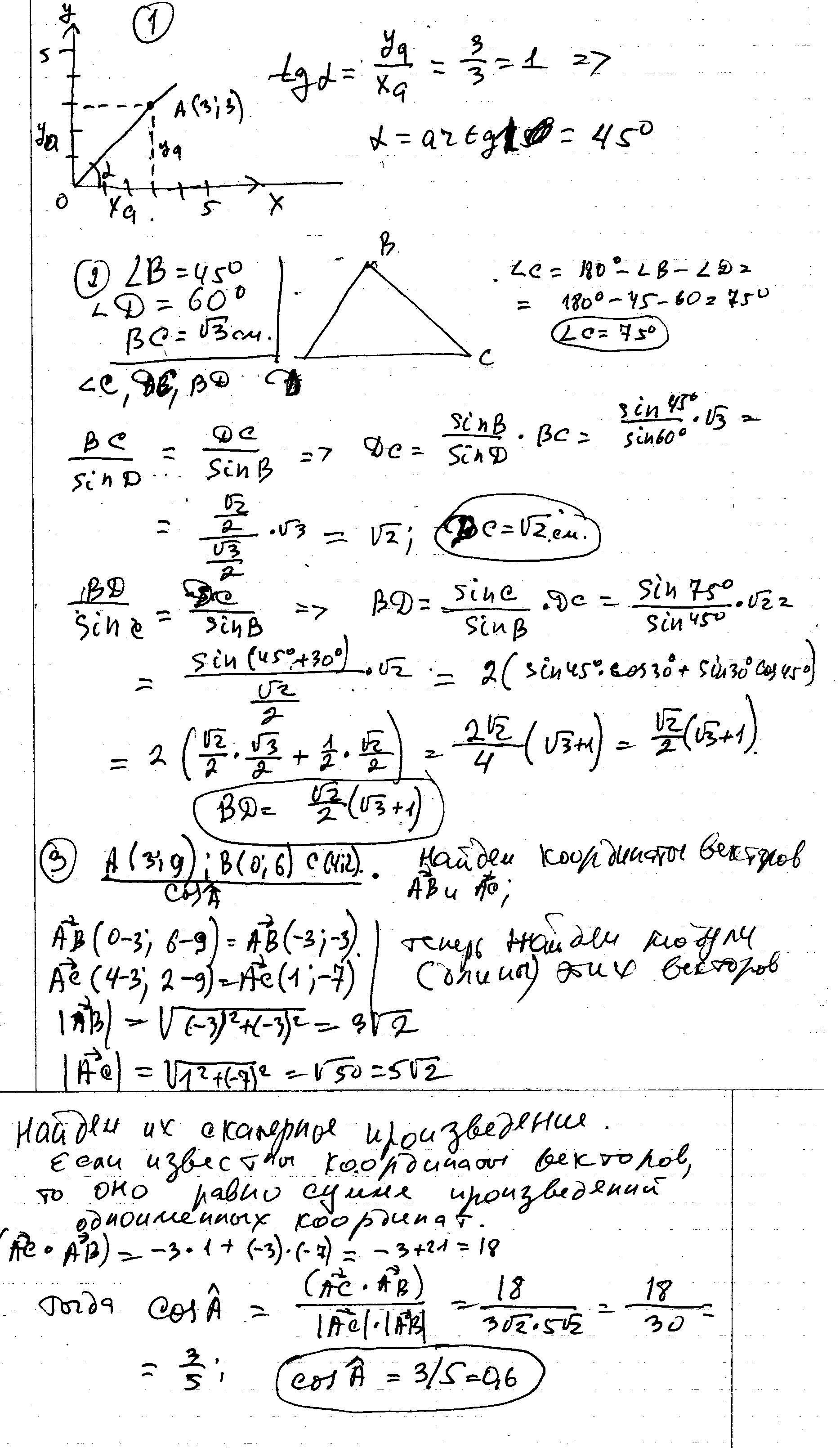
1. Найдите угол между лучом ОВ и положительной полуосью Ох, если В(3; 3).
2. Решите треугольник BCD, если В = 45°, D = 60°, ВС = см.
3. Найдите косинус угла ^ А треугольника ABC, если А(3; 9), В(0; 6), С(4; 2).
Ответы
Ответ дал:
0
Нашел условие 2-й задачи ВС = корень из 3
Приложения:

Вас заинтересует
2 года назад
2 года назад
8 лет назад
8 лет назад
10 лет назад
10 лет назад