Ответы
Ответ дал:
0
Ответ:
Может быть неправильно я торопился
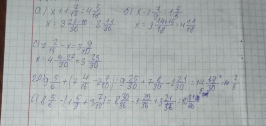
Приложения:

arina271997:
Помогите пожалуйста с заданием https://znanija.com/task/39179975
Ответ дал:
1
1)х=4 5/18-1 7/12
х=4 10/36- 1 21/36=3 46/36-1 21/36
х=2 35/36
б) х=1 5/6+2 7/9=
х=1 15/18+2 14/18=3 29/18=4 11/18
в) х=7 2/15-3 9/10=7 4/30 -3 27/30=6 34/30 -3 27/30=3 7/30
2. а) 9 5/6 +7 4/15-2 7/10= 9 25/30+7 8/30- 2 21/30=14 11/30
б) 8 5/6 -1 5/9 -3 7/12=8 30/36- 1 20/36- 3 21/36=7 10/36-3 21/36=6 25/36
Вас заинтересует
2 года назад
2 года назад
7 лет назад
7 лет назад
9 лет назад
9 лет назад