• Предмет: Математика
  • Автор: dracomalfoy95
  • Вопрос задан 3 года назад

СРОЧНО! Помогите, пожалуйста​

Приложения:

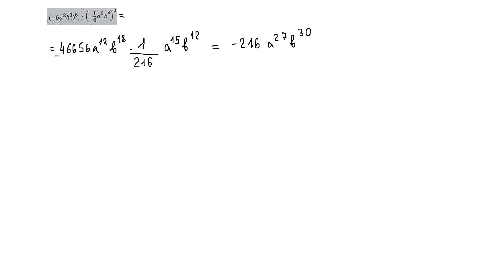
Ответы

Ответ дал: katy770
1

Ответ:

Привет)

Решение во вложении, будут вопросы, задавай)

Если не сложно, отметь пожалуйста как лучший ответ))

Пошаговое объяснение:

Приложения:

dracomalfoy95: Спасибо огромное!)
Вас заинтересует