помогите пожалуйста, помощь
Приложения:

parus77:
ну,что так никто и не ответил,или уже не нужен ответ?
Ответы
Ответ дал:
1
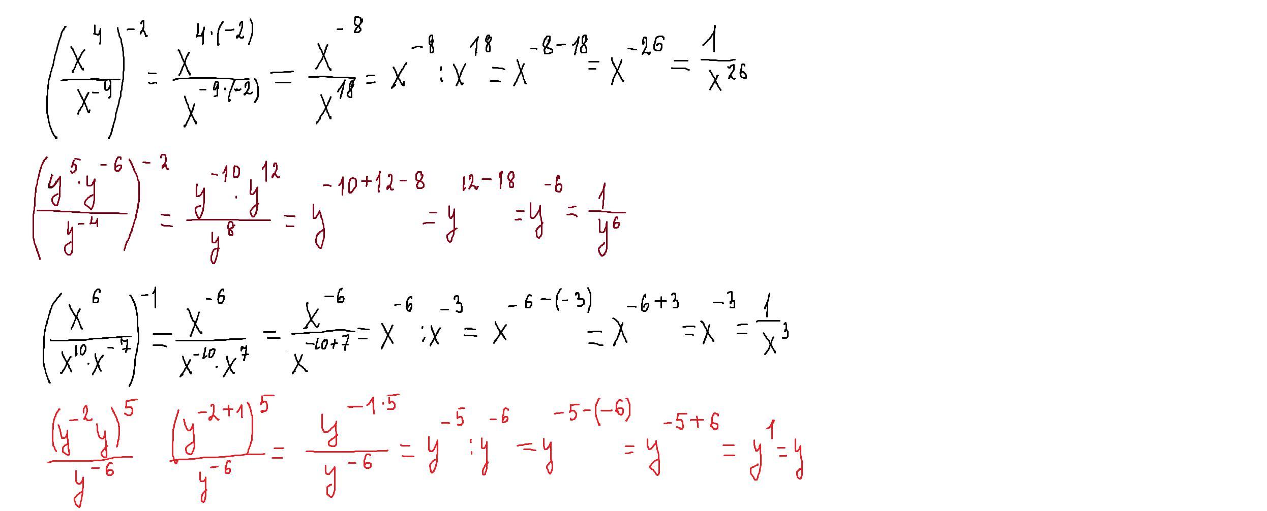
Ответ:
Объяснение:
применяем св-ва степеней с одинаковым основанием
Приложения:


Вас заинтересует
2 года назад
2 года назад
7 лет назад
7 лет назад
9 лет назад