Решения заданий по теме урока
1) Разложение многочленов на множители способом группировки.
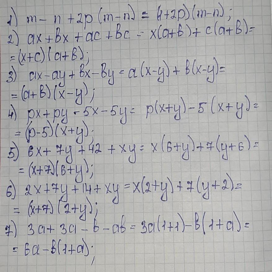
1. 1. m – n + 2р(m – n)
2. 2. ах + bх + ас + bс
3. 3. ах – аy + bх – by
4. 4. рх + рy – 5х – 5y
5. 5. 6х + 7y + 42 + хy
6. 6. 2х + 7y + 14 + хy
7. 7. 3а + 3а - b – аb
Ответы
Ответ дал:
6
7 пример точно не знаю)
Приложения:

Ответ дал:
0
Ответ:
1) =(m-n)•(1+2p)
2) =(a+b)•(x+c)
3) =(x-y)•(a+b)
4) =(x+y)•(p-5)
5) =(x+7)•(6+y)
6) =(x+7)•(2+y)
7) =6a-b-ab
Вас заинтересует
2 года назад
2 года назад
2 года назад
2 года назад
7 лет назад
7 лет назад
9 лет назад