• Предмет: Алгебра
  • Автор: evelinka0606
  • Вопрос задан 3 года назад


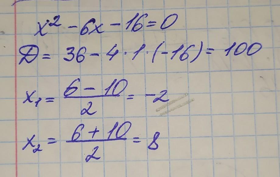
Решите уравнение х2-6x = 16. Если уравнение имеет более одного корня, в ответ
запишите меньший из корней.
Ответ: :

Ответы

Ответ дал: sonadovzenko6
0

ну ... получается что -2

Приложения:
Вас заинтересует