• Предмет: Алгебра
  • Автор: martis15
  • Вопрос задан 3 года назад

Срочно
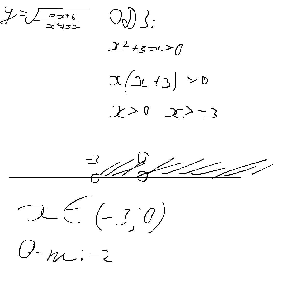
Найти наименьшее число, входящие в область определения функции​

Приложения:

Ответы

Ответ дал: stalker16001
0

Ответ:

Держи

Объяснение:

Приложения:
Вас заинтересует