• Предмет: Алгебра
  • Автор: zlatakovas
  • Вопрос задан 3 года назад

алгебра пошаговый ответ!!!!!!!!!!!!
срочноо
тема деление рацыональных дробов ​

Приложения:

Ответы

Ответ дал: ivankorobejnikov74
1

Ответ:

....................................

Приложения:
Ответ дал: kosjesrb
1

Ответ:

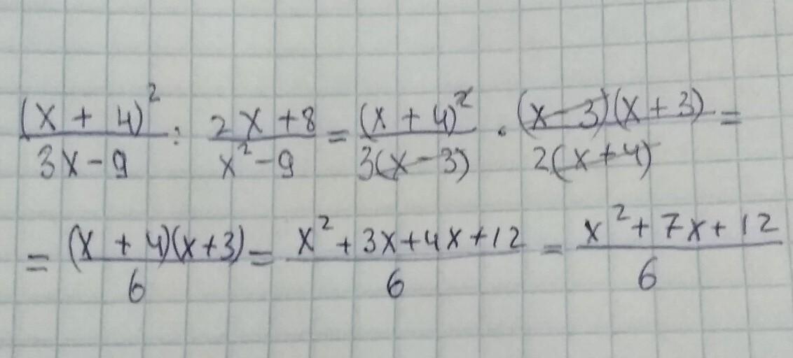
Решение на фото

Объяснение:

При деление вторая дробь переворачивается.

х²-9 попадает под формулу разность квадратов, поэтому расписываем можно расписать, как (х-3)(х+3)

у 3х-9 можно вынести тройку, следовательно, получится 3(х-3)

те же самые манипуляции проведём и с 2х+8, получится 2(х+4)

теперь можно сократить. после сокращения, что останется перемножить/сложить и т. д.

Приложения:
Вас заинтересует