• Предмет: Алгебра
  • Автор: driverpidr228
  • Вопрос задан 3 года назад

Помогите срочно 30 баллов

Приложения:

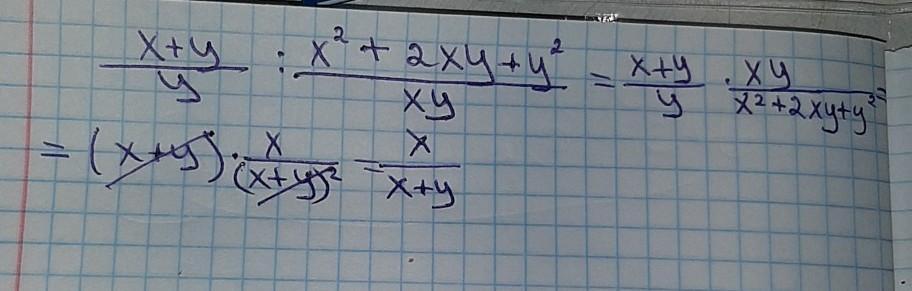
aliomarov2002: Ну, x
aliomarov2002: Ну x/x +y

Ответы

Ответ дал: Seulskaalera
1

x/x+y

x+y/y × xy/x2+2x+y2

(x+y) × x/(x+y) 2

сокращаем (x+y) и получается x/x+y

Ответ дал: avedispapikanmuradan
1

Ответ:

ответ в фото)))))))))))))надеюсь помог

Приложения:

driverpidr228: Спасибо, очень понятно.
avedispapikanmuradan: : э
Вас заинтересует