Ответы
Ответ дал:
1
Ответ:
0
Объяснение:
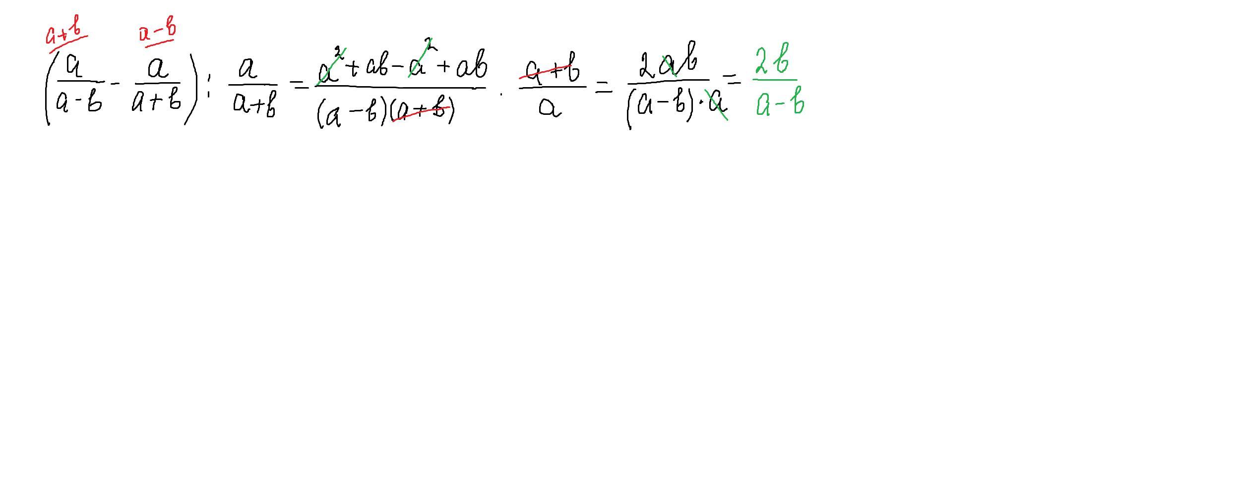
Расписал по действиям.
Приложения:

Ответ дал:
0
Ответ:
Объяснение:
решение внизу
Приложения:

Вас заинтересует
2 года назад
2 года назад
2 года назад
2 года назад
7 лет назад
7 лет назад
9 лет назад