• Предмет: Алгебра
  • Автор: pettys2002
  • Вопрос задан 3 года назад

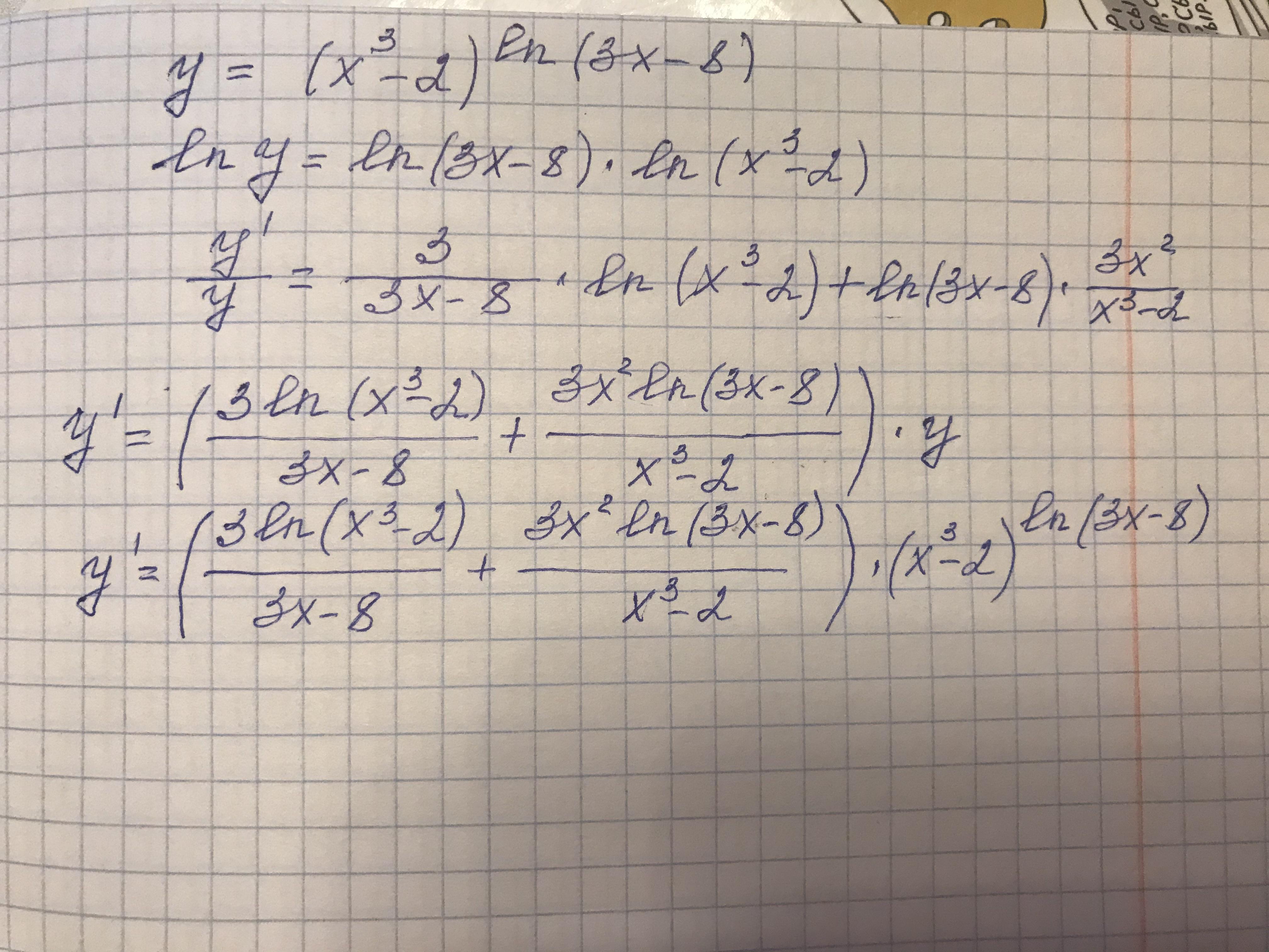
Найти производную сложнопоказательной функции методом логарифмического дифференцирования ​

Приложения:

Ответы

Ответ дал: natalyabryukhova
2

Ответ:

======================================

Объяснение:

Приложения:

pettys2002: Огромное спасибо!
Вас заинтересует