Ответы
Ответ дал:
1
Ответ:
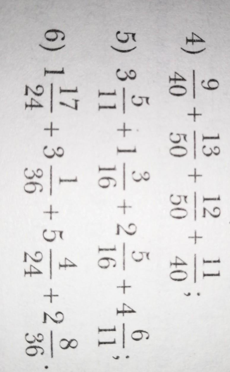
4) (13/50+12/50)+(9/40+11/40)=25/50+15/40=175/200
5) (3 5/11+4 6/11)+(1 3/16+2 5/16)= 8+3 8/16=7 16/16+3 8/16= 11 8/16
meyzi90:
спасибо, но как же 5 и 6?
Ответ дал:
2
Если есть ошибка, исправьте
Приложения:

Вас заинтересует
2 года назад
2 года назад
2 года назад
7 лет назад
7 лет назад
9 лет назад