• Предмет: Алгебра
  • Автор: Bym4ukByy
  • Вопрос задан 3 года назад

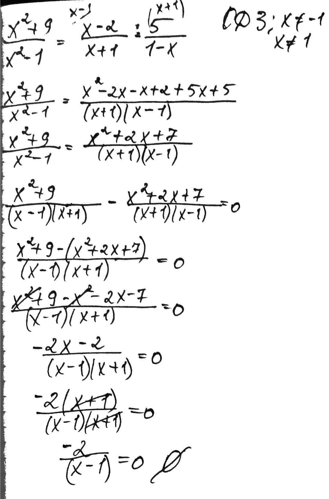
Розв'яжіть рівняння срочно срочно СРООООЧНО %%%%%%%%%%​

Приложения:

Ответы

Ответ дал: NiNic356
1

Объяснение:

))))))))))))))))))))))))))

Приложения:
Вас заинтересует