• Предмет: Математика
  • Автор: Аноним
  • Вопрос задан 3 года назад

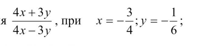
Найдите значение выражения 4х+3у/4х-3у при х - 3/4 у =-1/6​

Приложения:

Ответы

Ответ дал: bimyrzanazgul
2

Ответ:

ответ : 1,4

Пошаговое объяснение:

надеюсь правильно

Вас заинтересует