Ответы
Ответ дал:
2
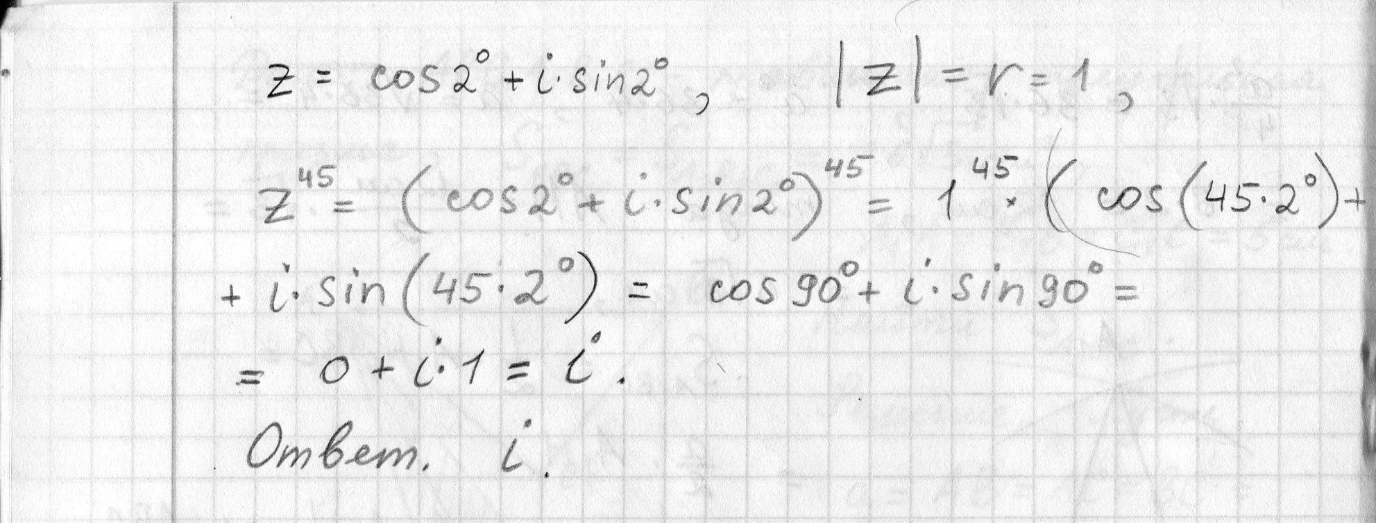
формула Муавра для комплексных чисел имеет вид:
Далее смотри прикреплённое изображение ===>>
Приложения:

quarckium:
Большое спасибо. Тема новая не все понятно) Если что можно к вам еще обратиться?
Вас заинтересует
2 года назад
2 года назад
2 года назад
2 года назад
7 лет назад
7 лет назад
9 лет назад
9 лет назад