• Предмет: Математика
  • Автор: Аноним
  • Вопрос задан 3 года назад

Помогите решить!! Очень срочно ​

Приложения:

Ответы

Ответ дал: Tanda80
0

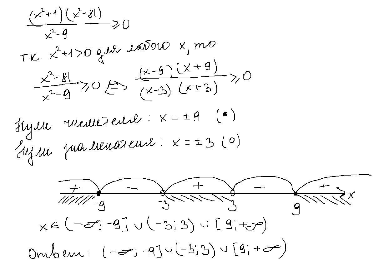
Ответ: решение на фотографии

Пошаговое объяснение: используем метод интервалов

Приложения:
Вас заинтересует