• Предмет: Алгебра
  • Автор: ekaterinarozina539
  • Вопрос задан 3 года назад

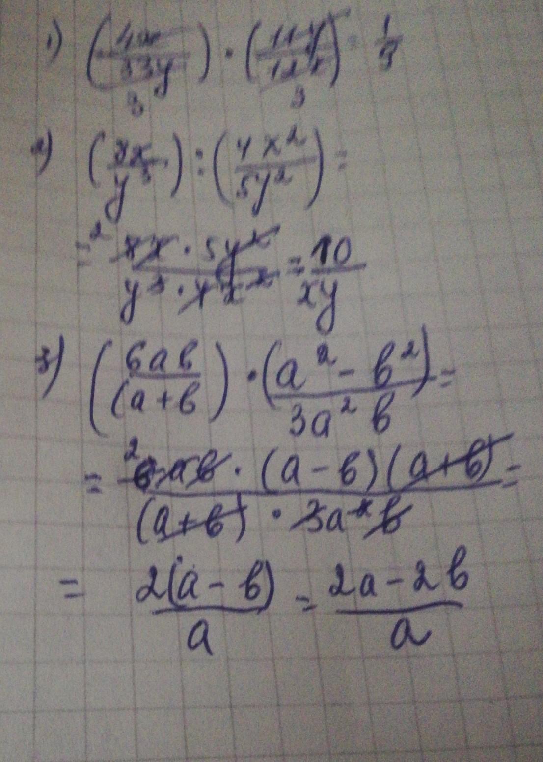
1) (4x/33y)•(11y/12x)
2) (8x/y^3):(4x^2/5y^2)
3) (6ab/(a+b))•(a^2 -b^2)/(3a^2b)
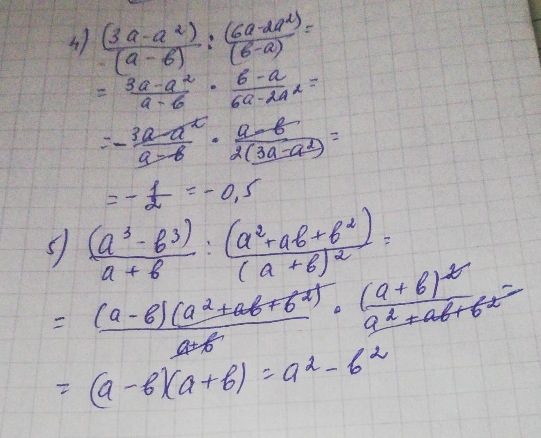
4) (3a-a^2)/(a-b):((6a-2a^2)/(b-a))
5) (a^3 - b^3)/(a+b):(a^2 +ab+b^2))/((a +b)^2


Варианты ответов:
10/xy
1/9
a^2-b^2
(2a-2b)/a
-0,5


Решите пожалуйста. В принципе не обязательно писать решение, главное, что бы ответы были правильными))) Заранее спасибо) дам достаточно баллов и плюс (лучший ответ))))

Ответы

Ответ дал: serovaksusa1
1

Ответ:

Смотри решение на фото

Приложения:
Вас заинтересует