• Предмет: Алгебра
  • Автор: spoodi
  • Вопрос задан 3 года назад

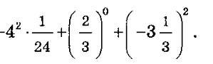
помогите(((((((
Нужно решить с пояснением

Приложения:

Ответы

Ответ дал: yarik1231011
0

Ответ:

Объяснение:

16*1/24+1+9*1/9=2/3+10*1/9=6/9+10*1/9=10*7/9


spoodi: У меня 103/9 почему то получилось и в итоге я сократила и получила 11 4/9
yarik1231011: ответ 12 7/9
Вас заинтересует