• Предмет: Алгебра
  • Автор: toka013
  • Вопрос задан 3 года назад

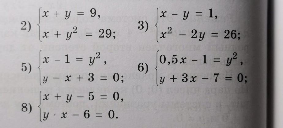
способом подстановки решите систему уравнений​

Приложения:

Ответы

Ответ дал: azizaperdebaeva2004
1

Ответ:

вот только 6 нет!!!!!!!

Приложения:

toka013: большое спасибо,очень помогли(•‿•)
azizaperdebaeva2004: не за что
Вас заинтересует