• Предмет: Математика
  • Автор: uroboros2398
  • Вопрос задан 3 года назад

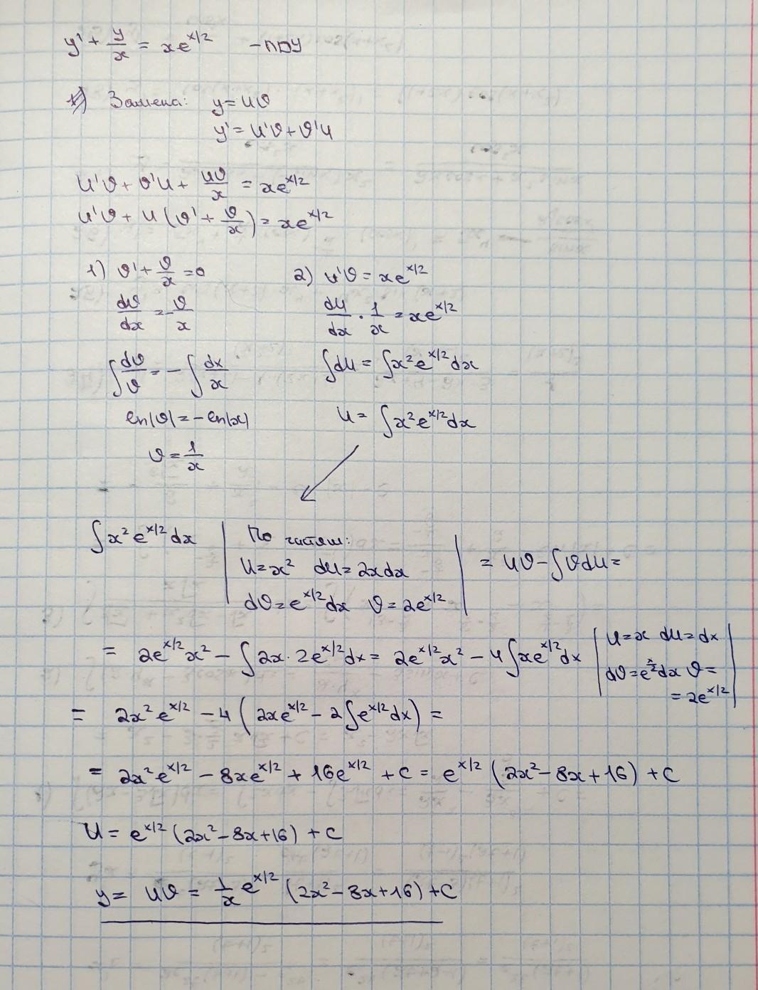
помогите решить уравнение у'+y/x=xe^(x/2)​

Ответы

Ответ дал: Miroslava227
3

Ответ:

решение на фотографии

Приложения:
Вас заинтересует