Ответы
Ответ дал:
0
Ответ:
Привет)
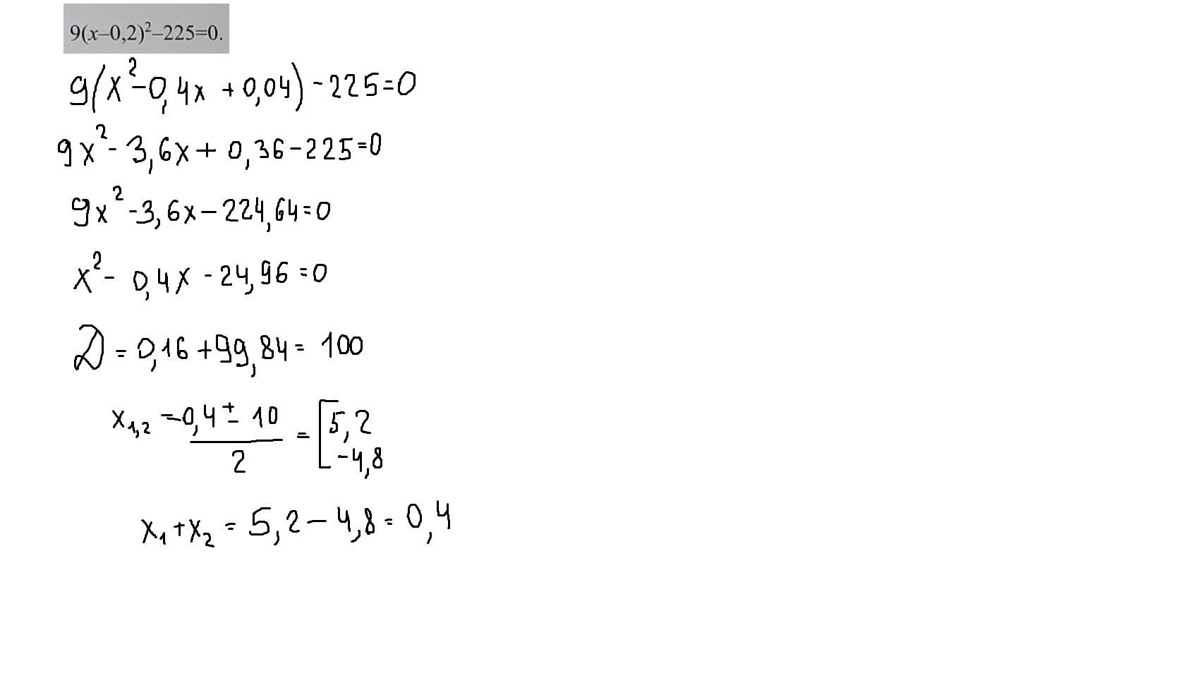
Решение во вложении, будут вопросы, задавай)
Если не сложно, отметь пожалуйста как лучший ответ))
Пошаговое объяснение:
Приложения:

260519kz888:
Мне интересно, а как так решить? Ну, писать как вы.
Вас заинтересует
2 года назад
2 года назад
7 лет назад
7 лет назад
9 лет назад
9 лет назад