• Предмет: Математика
  • Автор: tukenovamilena6
  • Вопрос задан 3 года назад

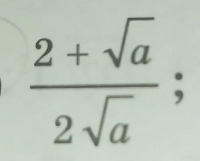
освободитесь от иррациональности в знаменателе дроби​

Приложения:

Ответы

Ответ дал: lizavito
0

Ответ:

а+2√а/ 2а

Пошаговое объяснение:

(2+ √а) / 2√а = (2+ √а) √а / 2√а·√а= (2+ √а) √а / 2а = а+2√а/ 2а

Вас заинтересует
2 года назад