• Предмет: Математика
  • Автор: milanaax
  • Вопрос задан 3 года назад

помогите пожалуйста умоляю​

Приложения:

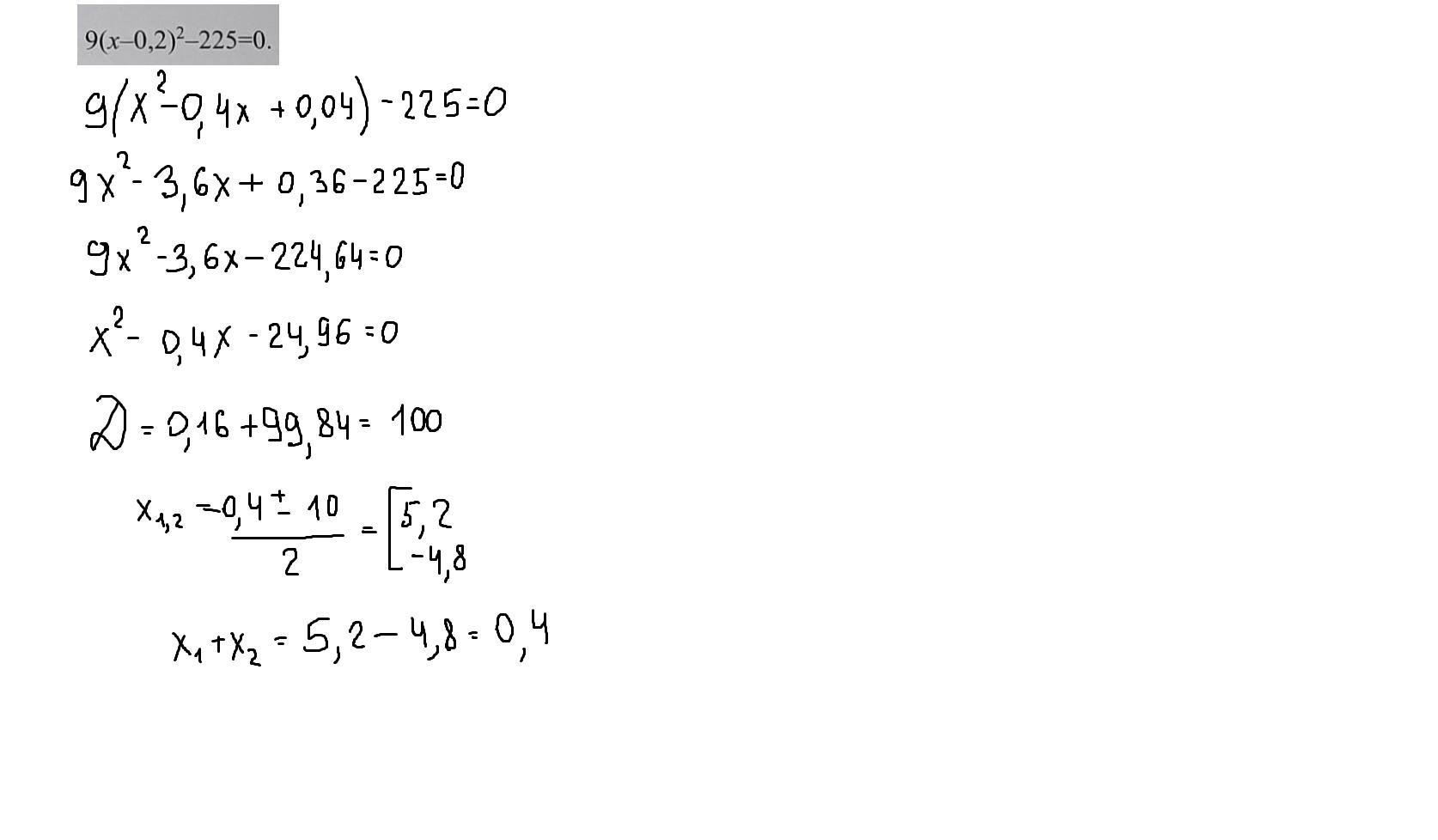
Ответы

Ответ дал: katy770
0

Ответ:

Привет)

Решение во вложении, будут вопросы, задавай)

Если не сложно, отметь пожалуйста как лучший ответ))

Пошаговое объяснение:

Приложения:
Вас заинтересует