• Предмет: Математика
  • Автор: Аноним
  • Вопрос задан 3 года назад

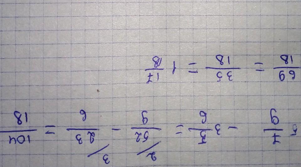
Скажите пожалуйста сколько будет?
5целых 7/9-3целых5/6​

Приложения:

Ответы

Ответ дал: ssssii10hhhh
2

Пошаговое объяснение:

кажется все верно.....

Приложения:

Аноним: Спасибо большое)Только скажи пж после 104/18 идёт = или что за знак?
ssssii10hhhh: знак минус(-). пожалуйста
Аноним: Спасибо)
Вас заинтересует