• Предмет: Алгебра
  • Автор: lizasokolovskaa60
  • Вопрос задан 3 года назад

ПЛМОГИИИИИТТЕЕЕЕ
алгебра 8 класс

Приложения:

Ответы

Ответ дал: patimat0090
1

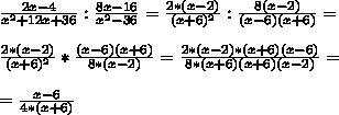
Ответ:

(2x-4)/(x^(2)+12x+36)-:(8x-16)/(x^(2)-36)

Приложения:
Вас заинтересует