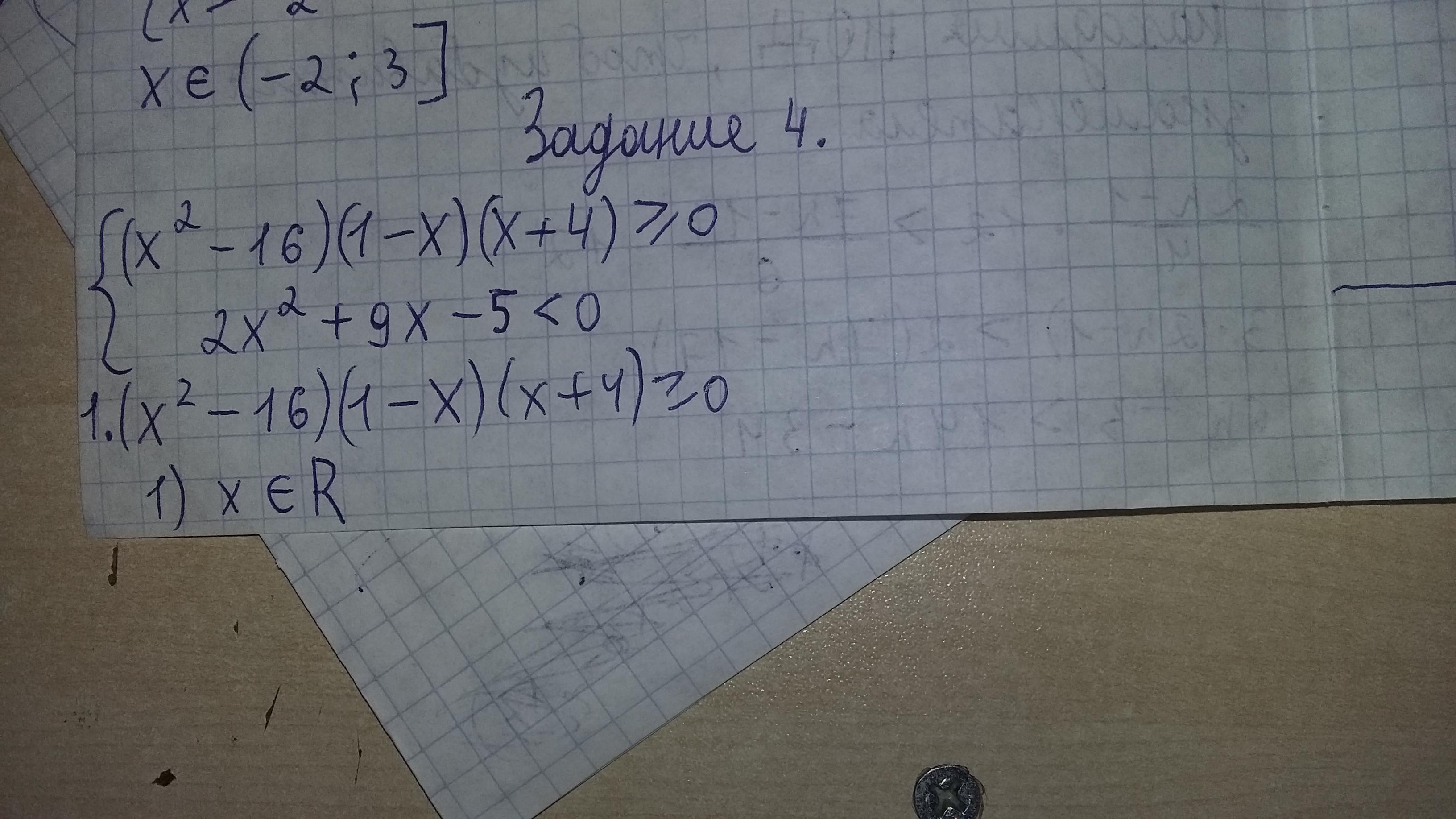
Решите систему неравенств.
Срочно пожалуйста!!
Если там нужна вот эта линия интервалов, то тоже обозначьте пожалуйста.
Приложения:

tikitoki30:
случайно обозначила предмет "Геометрия", надо было "Алгебра".
Ответы
Ответ дал:
1
Ответ:
Если поздно,то простите!
Приложения:


Вас заинтересует
2 года назад
2 года назад
2 года назад
9 лет назад