Ответы
Ответ дал:
1
=———-———-= С Н И З У =-———-———=
Приложения:

Ответ дал:
1
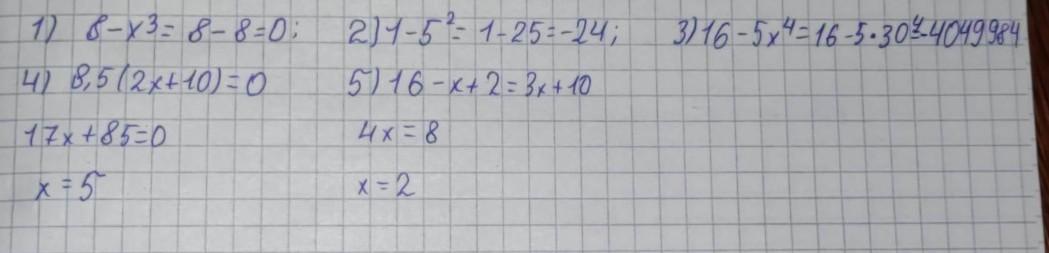
Ответ:
1)8-2^3=0
5)16-х+2=3х+10
16-+2-10=3×+х
8=4х
х=2
Вас заинтересует
2 года назад
2 года назад
2 года назад
7 лет назад
7 лет назад
9 лет назад