Ответы
Ответ дал:
2
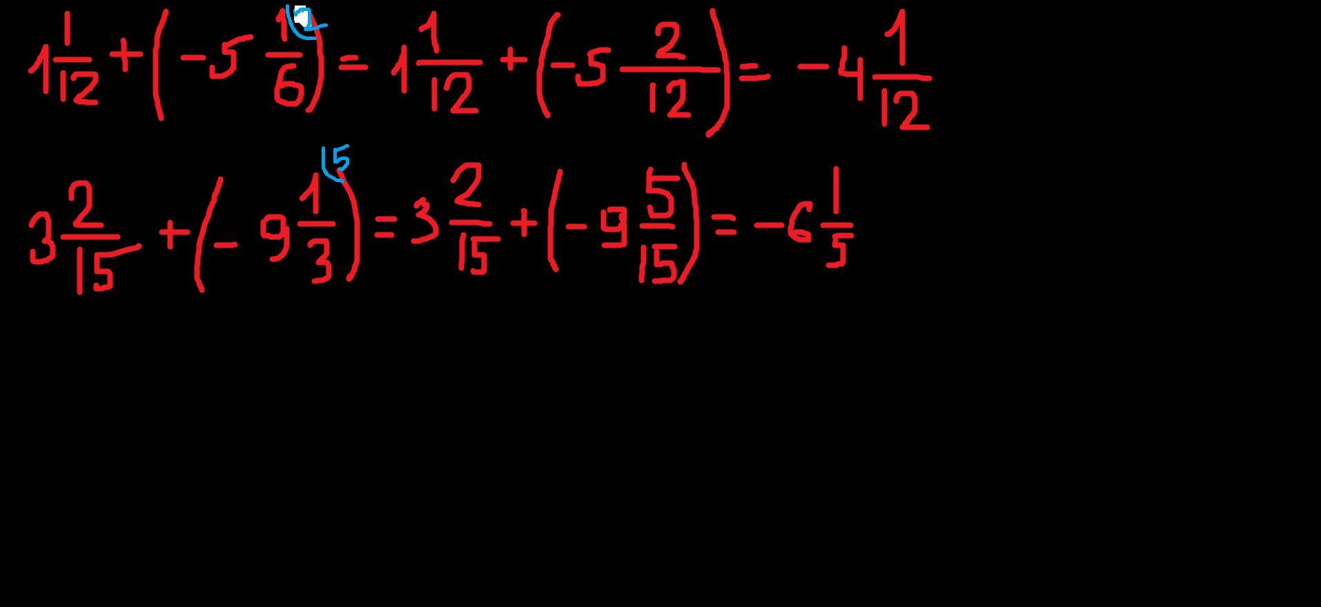
Ответ: 8) - 4 1/12 9) -6 1/5
Пошаговое объяснение: за 10 б решил ответить! смотри на фото! ↓↓↓
больше поймёшь!
Приложения:

Аноним:
лучший поставь!
Вас заинтересует
2 года назад
2 года назад
7 лет назад
9 лет назад